算法总结——队列
tbghg

0. 理论基础

队列queue

在计算机科学中,一个队列queue 是一种特殊的抽象数据类型(Abstract Data Type) 或其中元素保持一定顺序的集合。其中最主要的(或则说唯一的)的在此集合上的操作是加元素到队列的末端,被称为入队/入列 enqueue;将元素从队列的前段移除,则称为出队/出列 dequeue;这让队列成为了先进先出(First-In-First-Out,FIFO)的数据结构。在先进先出的数据结构中,添加到队列中的第一个元素将会是第一个被删除的元素。队列是线性数据结构中的一种,或者更抽象地说,是一种顺序收集sequential collection。

双端队列 Double-ended queue

双端队列 Double-ended queue,简称为Deque,和队列的操作方式出列同名但不是一个意思。 在计算机科学中,双端队列(缩写为deque) 是一种抽象数据类型,它概括了一个队列,其中的元素可以从前(头) 或后(尾) 添加或删除。因此也经常被称为首尾链表。

主要操作

  • InitQueue(&Q):初始化队列,构造一个空队列Q。
  • QueueEmpty(Q):判队列空,若队列Q为空返回true,否则返回false。
  • EnQueue(&Q, x):入队,若队列Q未满,将x加入,使之成为新的队尾。
  • DeQueue(&Q, &x):出队,若队列Q非空,删除队头元素,并用x返回。
  • GetHead(Q, &x):读队头元素,若队列Q非空,则将队头元素赋值给X。

实现

  1. 顺序存储结构—-基于数组
  2. 链式存储结构—-基于单链表

顺序存储结构

队列的主要操作在队首和队尾处完成 ,要保留队头、队尾两个位置方便操作实现

1
2
3
4
5
6
7
#define MAXSIZE 5
typedef struct
{
elemtype data[MAXSIZE];
int f, r; //队首和队尾指针
} SeQueue;
SeQueue q;

说明:elemtype代表队列中数据元素的类型,具体应用时,队列中的数据元素是什么类型的,就将elemtype定义成相应类型

基本操作:

1
2
3
4
5
6
7
8
9
// 初始化
q.f=0;q.r=0;
// 入队
if (q.r < MAXSIZE) { // 判断是否溢出
q.data[q.r]=x;
q.r++;
} else printf(“overflow”);
// 出队
if ( q.f != q.r ) q.f++;

思考一个问题,随着不断入队出队,q.f、q.r一直在增长,最后q.r = MAXSIZE时,即使队列只有或者为空均会因为没有空间而无法再插入——顺序队列存在假溢出。

解决方式:

  1. 每删除一个数据元素,余下的所有数据元素顺次移动一个位置——效率太低
  2. 循环队列,首尾相接

循环队列

将正常的数组空间看成环状的,通过求余(%,MOD)运算可实现数组的首尾相接

image

判断队满

队空和队满时q.f==q.r,无法根据队首和队尾指针的相对位置判断队列是处于“空”还是处于“满”的状态

  • 方法1:设一计数器,初始化时计数器清0,入队时,计数器+1,出队时计数器-1
  • 方法2:为区分队空、队满,牺牲一个存储位置,当(q.r+1)%MAXSIZE==q.f时认为队满了,q.r==q.f为队空

基本操作

1
2
3
4
5
6
7
8
9
// 初始化
q.f=0;q.r=0;
// 入队
if( (q.r+1)%MAXSIZE==q.f ) { // 此处为方法2,判断是否溢出
q.data[q.r]=x;
q.r=(q.r+1)%MAXSIZE;
} else printf(“overflow”);
// 出队
if( q.r==q.f ) q.f = (q.f+1)%MAXSIZE;

链式存储结构

f为队首指针,指示链队的队首位置
r为队尾指针,指示链队的队尾位置

比较基础,学完链表之后这个挺轻松的,不多解释

1
2
3
4
5
6
7
8
9
10
// 入队
s=(LinkList)malloc(sizeof(Node));
s->data=x;
r->next=s;
s->next=NULL;
r=s;
// 出队
s=f->next;
f->next=s->next;
free(s);

1.循环队列

题目链接

请不要使用内置的队列库。

设计你的循环队列实现。 循环队列是一种线性数据结构,其操作表现基于 FIFO(先进先出)原则并且队尾被连接在队首之后以形成一个循环。它也被称为“环形缓冲器”。

循环队列的一个好处是我们可以利用这个队列之前用过的空间。在一个普通队列里,一旦一个队列满了,我们就不能插入下一个元素,即使在队列前面仍有空间。但是使用循环队列,我们能使用这些空间去存储新的值。

你的实现应该支持如下操作:

  • MyCircularQueue(k): 构造器,设置队列长度为 k 。
  • Front: 从队首获取元素。如果队列为空,返回 -1 。
  • Rear: 获取队尾元素。如果队列为空,返回 -1 。
  • enQueue(value): 向循环队列插入一个元素。如果成功插入则返回真。
  • deQueue(): 从循环队列中删除一个元素。如果成功删除则返回真。
  • isEmpty(): 检查循环队列是否为空。
  • isFull(): 检查循环队列是否已满。

其中:

  • 所有的值都在 0 至 1000 的范围内;
  • 操作数将在 1 至 1000 的范围内;

答案

注意事项:

  1. 在C语言中负数求余:被除数的绝对值与除数绝对值取余的值即为余数绝对值,余数符号与被除数一致。
  2. C语言中使用bool可以#include<stdbool.h>
1
2
3
4
5
6
7
8
9
10
11
12
13
14
15
16
17
18
19
20
21
22
23
24
25
26
27
28
29
30
31
32
33
34
35
36
37
38
39
40
41
42
43
44
45
46
47
48
49
50
51
typedef struct {
int MAXSIZE;
int *data;
int f, r;
} MyCircularQueue;

MyCircularQueue *myCircularQueueCreate(int k) {
MyCircularQueue *CQ = (MyCircularQueue *) malloc(sizeof(MyCircularQueue));
CQ->r = 0, CQ->f = 0;
CQ->MAXSIZE = k + 1; // 牺牲一个存储位置,判断队满
CQ->data = (int *) malloc(sizeof(int *) * CQ->MAXSIZE);
return CQ;
}

bool myCircularQueueEnQueue(MyCircularQueue *obj, int value) {
if ((obj->r + 1) % obj->MAXSIZE != obj->f) {
obj->data[obj->r] = value;
obj->r = (obj->r + 1) % obj->MAXSIZE;
return true;
} else return false;
}

bool myCircularQueueDeQueue(MyCircularQueue *obj) {
if (obj->f != obj->r) {
obj->f = (obj->f + 1) % obj->MAXSIZE;
return true;
} else return false;
}

int myCircularQueueFront(MyCircularQueue *obj) {
if (obj->f != obj->r) return obj->data[obj->f];
else return -1;
}

int myCircularQueueRear(MyCircularQueue *obj) {
if (obj->f != obj->r) return obj->data[(obj->r - 1 + obj->MAXSIZE) % obj->MAXSIZE];
else return -1;
}

bool myCircularQueueIsEmpty(MyCircularQueue *obj) {
return obj->f == obj->r;
}

bool myCircularQueueIsFull(MyCircularQueue *obj) {
return (obj->r + 1) % obj->MAXSIZE == obj->f;
}

void myCircularQueueFree(MyCircularQueue *obj) {
free(obj->data);
free(obj);
}

2. 循环双端队列

题目链接

设计实现双端队列。

实现 MyCircularDeque 类:

  • MyCircularDeque(int k) :构造函数,双端队列最大为 k 。
  • boolean insertFront():将一个元素添加到双端队列头部。 如果操作成功返回 true ,否则返回 false 。
  • boolean insertLast() :将一个元素添加到双端队列尾部。如果操作成功返回 true ,否则返回 false 。
  • boolean deleteFront() :从双端队列头部删除一个元素。 如果操作成功返回 true ,否则返回 false 。
  • boolean deleteLast() :从双端队列尾部删除一个元素。如果操作成功返回 true ,否则返回 false 。
  • int getFront() ):从双端队列头部获得一个元素。如果双端队列为空,返回 -1 。
  • int getRear() :获得双端队列的最后一个元素。 如果双端队列为空,返回 -1 。
  • boolean isEmpty() :若双端队列为空,则返回 true ,否则返回 false 。
  • boolean isFull() :若双端队列满了,则返回 true ,否则返回 false 。

示例 1:

1
2
3
4
5
输入
["MyCircularDeque", "insertLast", "insertLast", "insertFront", "insertFront", "getRear", "isFull", "deleteLast", "insertFront", "getFront"]
[[3], [1], [2], [3], [4], [], [], [], [4], []]
输出
[null, true, true, true, false, 2, true, true, true, 4]

其中:

  • 1 <= k <= 1000
  • 0 <= value <= 1000
  • insertFront, insertLast, deleteFront, deleteLast, getFront, getRear, isEmpty, isFull 调用次数不大于 2000 次

代码

注意实现与循环队列相同,只需要在循环队列的基础上加上队头删除、队尾插入,其余保持不变,没啥难度,不多介绍

1
2
3
4
5
6
7
8
9
10
11
12
13
14
15
16
17
18
19
20
21
22
23
24
25
26
27
28
29
30
31
32
33
34
35
36
37
38
39
40
41
42
43
44
45
46
47
48
49
50
51
52
53
54
55
56
57
58
59
60
61
62
63
64
65
66
typedef struct {
int MAXSIZE;
int *data;
int f, r;
} MyCircularDeque;

MyCircularDeque *myCircularDequeCreate(int k) {
MyCircularDeque *CD = (MyCircularDeque *) malloc(sizeof(MyCircularDeque));
CD->r = 0, CD->f = 0;
CD->MAXSIZE = k + 1; // 牺牲一个存储位置,判断队满
CD->data = (int *) malloc(sizeof(int *) * CD->MAXSIZE);
return CD;
}

bool myCircularDequeInsertFront(MyCircularDeque *obj, int value) {
if ((obj->r + 1) % obj->MAXSIZE != obj->f) {
obj->f = (obj->f - 1 + obj->MAXSIZE) % obj->MAXSIZE; // 头指针向前走一位,然后插入数据
obj->data[obj->f] = value;
return true;
} else return false;
}

bool myCircularDequeInsertLast(MyCircularDeque *obj, int value) {
if ((obj->r + 1) % obj->MAXSIZE != obj->f) {
obj->data[obj->r] = value;
obj->r = (obj->r + 1) % obj->MAXSIZE;
return true;
} else return false;
}

bool myCircularDequeDeleteFront(MyCircularDeque *obj) {
if (obj->f != obj->r) {
obj->f = (obj->f + 1) % obj->MAXSIZE;
return true;
} else return false;
}

bool myCircularDequeDeleteLast(MyCircularDeque *obj) {
if (obj->f != obj->r) {
obj->r = (obj->r - 1 + obj->MAXSIZE) % obj->MAXSIZE;
return true;
} else return false;
}

int myCircularDequeGetFront(MyCircularDeque *obj) {
if (obj->f != obj->r) return obj->data[obj->f];
else return -1;
}

int myCircularDequeGetRear(MyCircularDeque *obj) {
if (obj->f != obj->r) return obj->data[(obj->r - 1 + obj->MAXSIZE) % obj->MAXSIZE];
else return -1;
}

bool myCircularDequeIsEmpty(MyCircularDeque *obj) {
return obj->f == obj->r;
}

bool myCircularDequeIsFull(MyCircularDeque *obj) {
return (obj->r + 1) % obj->MAXSIZE == obj->f;
}

void myCircularDequeFree(MyCircularDeque *obj) {
free(obj->data);
free(obj);
}

3. 单调队列

单调队列,顾名思义,是一种具有单调性的队列。众所周知,单调性有单调递增和单调递减两种,相应的单调队列也分为单调递增队列和单调递减队列两种。

  • 单调递增队列:保证队列头元素一定是当前队列的最小值,用于维护区间的最小值。
  • 单调递减队列:保证队列头元素一定是当前队列的最大值,用于维护区间的最大值。

单独解释起来比较抽象,下面我们通过例题进行讲解

例题一 滑动窗口最大值

题目链接

给你一个整数数组 nums,有一个大小为 k 的滑动窗口从数组的最左侧移动到数组的最右侧。你只可以看到在滑动窗口内的 k 个数字。滑动窗口每次只向右移动一位。

返回 滑动窗口中的最大值

要求:在线性时间复杂度内解决此题

1
2
3
4
5
6
7
8
9
10
11
12
13
14
15
16
示例 1
输入:nums = [1,3,-1,-3,5,3,6,7], k = 3
输出:[3,3,5,5,6,7]
解释:
滑动窗口的位置 最大值

[1 3 -1] -3 5 3 6 7 3
1 [3 -1 -3] 5 3 6 7 3
1 3 [-1 -3 5] 3 6 7 5
1 3 -1 [-3 5 3] 6 7 5
1 3 -1 -3 [5 3 6] 7 6
1 3 -1 -3 5 [3 6 7] 7

示例 2
输入:nums = [1], k = 1
输出:[1]

说明:

  • 1 <= nums.length <= 10^5
  • -10^4 <= nums[i] <= 10^4
  • 1 <= k <= nums.length

分析

在说具体怎么实现一个单调队列之前,先来一个简单的例子,感受一下:

假设给定数列:[ 1, 3, -1, -3, 5, 3, 6, 7 ],区间长度为3。

用单调队列实现时动画如下:

image

注意:一般的队列只能从队尾入队、队首出队,为了保持单调队列的单调性,单调队列除具有这两种性质外,还可以从队尾出队。

实现单调队列,主要分为三个部分:

  • 去尾操作:队尾元素出队列。当队列有新元素待入队,需要从队尾开始,删除影响队列单调性的元素,维护队列的单调性。(删除一个队尾元素后,就重新判断新的队尾元素)。去尾操作结束后将该新元素入队列。
  • 删头操作:队头元素出队列。判断队头元素是否在待求解的区间之内,如果不在,就将其删除。(这个很好理解呀,因为单调队列的队头元素就是待求解区间的极值)
  • 取解操作:经过上面两个操作,取出 队列的头元素,就是当前区间的极值。

关于细节方面的操作可见给出的代码注释

代码

1
2
3
4
5
6
7
8
9
10
11
12
13
14
15
16
17
18
19
20
21
22
23
24
25
26
27
28
29
30
31
32
33
34
35
36
37
38
39
int *maxSlidingWindow(int *nums, int numsSize, int k, int *returnSize)
{
int q[numsSize];
int hh = 0, tt = 0; // hh表示队头,tt表示队尾
// 先将第一个窗口装填完毕
for (int i = 0; i < k; ++i)
{
// hh < tt --> 队列中有数据 q[tt - 1] --> 队尾的数据
// 如果队列中存在数据且队尾数据比当前数据小,弹出队尾,直到为空或大于等于当前数据
while (hh < tt && nums[i] >= nums[q[tt - 1]])
{
tt--;
}
// 将当前数据的下标入队
q[tt++] = i;
}

*returnSize = 0;
int *ans = (int *)malloc(sizeof(int) * (numsSize - k + 1));
ans[(*returnSize)++] = nums[q[hh]]; // 将第一个窗口结果写入ans中

for (int i = k; i < numsSize; ++i)
{
// 同上,不做解释
while (hh < tt && nums[i] >= nums[q[tt - 1]])
{
tt--;
}
q[tt++] = i;
// 判断是否超出窗口大小,如果超出队首出队
while (q[hh] <= i - k)
{
hh++;
}
// 队首为窗口最大数,写入ans中
ans[(*returnSize)++] = nums[q[hh]];
}
return ans;
}

课后作业

作业一

题目链接

有一个长为 n 的序列 a ,以及一个大小为 k 的窗口。现在这个从左边开始向右滑动,每次滑动一个单位,求出每次滑动后窗口中的最大值和最小值。

以下是一个例子:

该数组为 [1 3 -1 -3 5 3 6 7],k 为 3。

窗口位置

最小值

最大值

[1 3 -1] -3 5 3 6 7

-1

3

1 [3 -1 -3] 5 3 6 7

-3

3

1 3 [-1 -3 5] 3 6 7

-3

5

1 3 -1 [-3 5 3] 6 7

-3

5

1 3 -1 -3 [5 3 6] 7

3

6

1 3 -1 -3 5 [3 6 7]

3

7

你的任务是确定滑动窗口位于每个位置时,窗口中的最大值和最小值。

输入格式:输入一共有两行,第一行有两个正整数 n, k。 第二行 n 个整数,表示序列 a

输出格式:输出包含两个。第一行输出,从左至右,每个位置滑动窗口中的最小值。第二行输出,从左至右,每个位置滑动窗口中的最大值。

输入样例

1
2
8 3
1 3 -1 -3 5 3 6 7

输出样例

1
2
-1 -3 -3 -3 3 3
3 3 5 5 6 7

说明

题和例题一样,写法和力扣上面的不太一样,就是让大家自己重新写一遍,练一下单调队列。

答案
1
2
3
4
5
6
7
8
9
10
11
12
13
14
15
16
17
18
19
20
21
22
23
24
25
26
27
28
29
30
31
32
33
34
#include<stdio.h>
#include<malloc.h>

int main() {
int numsSize, k;
scanf("%d", &numsSize);
scanf("%d", &k);
int *nums = (int *) malloc(sizeof(int) * numsSize); // nums接收数组
int q[numsSize - k + 1]; // 单调队列存放于q中,存放数据的下标
int hh = 0, tt = 0; // hh表示队头,tt表示队尾
for (int i = 0; i < numsSize; i++) {
scanf("%d", &nums[i]);
if (i - k + 1 > q[hh]) // 如果队首出窗口,hh++
hh++;
while (hh < tt && nums[i] <= nums[q[tt - 1]]) // 若队尾不单增,队尾出队
tt--;
q[tt++] = i;
if (i >= k - 1) // 输出最小值结果
printf("%d ", nums[q[hh]]);
}
printf("\n");
hh = 0, tt = 0;
for (int i = 0; i < numsSize; i++) {
scanf("%d", &nums[i]);
if (i - k + 1 > q[hh]) // 如果队首出窗口,hh++
hh++;
while (hh < tt && nums[i] >= nums[q[tt - 1]]) // 若队尾不单减,队尾出队
tt--;
q[tt++] = i;
if (i >= k - 1) // 输出最大值结果
printf("%d ", nums[q[hh]]);
}
return 0;
}

作业二

题目链接

题目描述

Uim 在公司里面当秘书,现在有 n 条消息要告知老板。每条消息有一个好坏度,这会影响老板的心情。告知完一条消息后,老板的心情等于老板之前的心情加上这条消息的好坏度。最开始老板的心情是 0,一旦老板心情到了 0 以下就会勃然大怒,炒了 Uim 的鱿鱼。

Uim 为了不被炒,提前知道了这些消息(已经按时间的发生顺序进行了排列)的好坏度,希望知道如何才能不让老板发怒。

Uim 必须按照事件的发生顺序逐条将消息告知给老板。不过 Uim 可以使用一种叫 “倒叙” 的手法,例如有 n 条消息,Uim 可以按 k,k+1,k+2,……,n,1,2,……,k-1(事件编号)这种顺序通报。

他希望知道,有多少个 k,可以使从 k 号事件开始通报到 n 号事件然后再从 1 号事件通报到 k-1 号事件可以让老板不发怒。

输入格式

第一行一个整数 n(1 <= n <=10^6),表示有 n 个消息。

第二行 n 个整数,按时间顺序给出第 i 条消息的好坏度 Ai(-10^3<= Ai <= 10^3)。

输出格式

一行一个整数,表示可行的方案个数。

样例

样例输入

1
2
4
-3 5 1 2

样例输出

1
2

【样例解释】
通报事件的可行顺序(用编号表示)为 2–>3–>4–>1 或 3–>4–>1–>2(分别对应 k=2 和 k=3)
通报事件的可行顺序(用好坏度表示)为 5–>1–>2–>(-3) 或 1–>2–>(-3)–>5

【数据范围】
对于 25% 的数据,n<=10^3;
对于 75% 的数据,n<=10^4;
对于 100% 的数据,1 <= n<= 10^6。

答案

首先我们先介入一种思想——断环为链,这样可以方便处理对于每一个k的情况。具体做法可以是将数组双倍展开,说通俗点就是在n后面再接上1到n-1的值

以样例为例:-3 5 1 2,我们将其断环为链后可以得到这样的一组数据:-3 5 1 2 -3 5 1,并设其下标为1–7。当k=1时,需要判断的就是下标1–4;当k=2时,就是下标2–5;当k=3时,就是下标3–6;当k=4时,就是下标4–7(显然k不会等于5)。

断环为链后,题目要求就变为了:对于每一个合法的k,都要满足k–(n+k-1)中,到任意一点的和都是非负的。根据我们之前学到的前缀和,我们可以通过sum[i]表示1–i的所有数的和,那么sum[j]-sum[i-1]就是i–j所有数的和。所以用前缀和预处理后,sum[i]-sum[k-1]就是k–i(k<=i<=n+k-1)的和了,我们只要判断这个和是否为负即可。

既然这么说,那么是否要判断k–n+k-1中每一个数的和呢?当然不是,对比例题一,现在相当于在长度为2n的数组中有一个长度为n的滑动窗口,只需要维护一个单调递增序列,判断每个窗口中最小的sum-sum[k-1]是否为负即可

那么这题的思路就很明确了,先对输入数据断环为链,然后在链上进行前缀和的预处理,最后,对于每一个k+n-1,我们用单调队列维护k–k+n-1的sum最小值,并将其减去sum[k-1]判断是否合法。

1
2
3
4
5
6
7
8
9
10
11
12
13
14
15
16
17
18
19
20
21
22
23
24
25
26
27
#include<stdio.h>
#include<malloc.h>

int main() {
int n, head = 0, tail = 0, ans = 0;
scanf("%d", &n);
long *a = (long *) malloc(sizeof(long) * n);
long *q = (long *) malloc(sizeof(long) * n);
long *sum = (long *) malloc(sizeof(long) * n * 2);

for (int i = 0; i < n; i++)
scanf("%ld", &a[i]);
// 计算前缀和
for (int i = 0; i < n; i++)
sum[i] = sum[i - 1] + a[i];
for (int i = n; i < 2 * n; i++)
sum[i] = sum[i - 1] + a[i - n];
// 维护单调队列
for (int i = 0; i < 2 * n; i++) {
if (i - n + 1 > q[head])head++;
while (head < tail && sum[i] <= sum[q[tail - 1]])tail--;
q[tail++] = i;
if (i - n + 1 > 0 && sum[q[head]] - sum[i - n] >= 0)ans++;
}
printf("%d\n", ans);
return 0;
}

4. 优先队列

普通的队列具有先进先出的特性,元素追加在队尾,如果删除的话,从队头删除。而在优先队列中,队列中的数据被赋予了优先级。当访问元素时,优先级最高的会先被删除。所以说优先队列是最高级数据先出。

优先队列的操作:

  1. 删除最小(最大)元素
  2. 插入一个元素

优先队列需要维护一个有序的元素序列,但不要求全部有序,只需要从这些元素中找到最大(或最小)的一个元素,而堆正好满足这一要求。关于堆,我们会在排序模块进行详细介绍,下面我会简单的介绍一下。

堆就是用数组实现的二叉树,分为大顶堆、小顶堆两种,在大顶堆中,父节点的值比每一个子节点的值都要大。在小顶堆中,父节点的值比每一个子节点的值都要小。

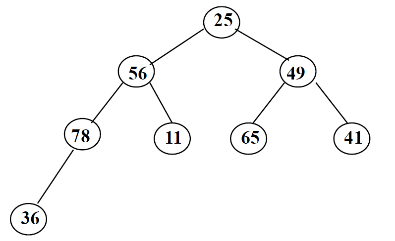
对于一个完全二叉树,我们可以按照从上到下、从左到右的顺序从1开始编号。同时我们对需要处理的数组从1进行编号

image

image

接着我们对这个二叉树进行调整(调整过程不再给出),让它满足堆的性质(以大顶堆为例,父节点的值比每一个子节点的值都要大)调整完后如下图

image

显然此时根节点为数组中的最大值,每次取出根节点后,对这个数组进行调整,让它接着满足堆的性质,一直取下去的话就是堆排序。

对于优先队列,我们在每次插入元素时对数组重新进行一次调整,每次取出最值后同样进行一次调整。

实际上STL里面也为我们提供了相关的实现。STL 是“Standard Template Library”的缩写,中文译为“标准模板库”。STL 是 C++ 标准库的一部分,STL 就是借助模板把常用的数据结构及其算法都实现了一遍,并且做到了数据结构和算法的分离。

STL中定义优先队列的类为priority_queue,其原型如下:

1
template <class T, class Container = vector<T>, class Compare = less<typename Container::value_type> > class priority_queue;

模板里面有三个参数,第一个为元素的类型,第二个为所使用的容器(vector或deque),第三个为一个比较的规则,决定是最大优先队列还是最小优先队列,默认的less为最大优先队列。

1
2
3
4
5
6
// priority_queue的主要方法
bool empty() const;
size_type size() const;
const value_type& top() const;
void push (const value_type& val);
void pop();

在使用时都要加上queue头文件
最大优先队列声明为:priority_queue<int> q
最小优先队列声明:priority_queue<int, vector<int>, greater<int> > q2

1
2
3
4
5
6
7
8
9
10
11
12
13
14
15
16
17
18
#include<queue>
#include<iostream>
using namespace std;
int main()
{
priority_queue<int, vector<int>, greater<int> > q;
q.push(9);
q.push(5);
q.push(3);
q.push(11);
while(!q.empty())
{
int val=q.top();
cout<<val<<" ";
q.pop();
}
return 0;
}

如果我们需要使用自定义比较函数,我们可以直接选用最大优先队列,然后对<进行重载

1
2
3
4
5
6
7
8
9
10
11
12
13
14
15
16
struct fruit
{
int price;

// 自定义比较函数的第一种方式:重载<符号
// 注意此处一定要声明为const,否则编译时无法通过
// const修饰的是类函数隐藏的第一个参数 this指针,这表明this指针只读,也即类成员不可修改
// 注意该用法只能是成员函数,要是类的静态函数或者是非成员函数就不可以在函数名后面加上const
bool operator<(const fruit& f1) const
{
return this->price < f1.price;
}
}
int main(){
priority_queue<fruit> q;
}

下面我们来看道例题

例题一 合并果子

题目

题目链接

在一个果园里,多多已经将所有的果子打了下来,而且按果子的不同种类分成了不同的堆。多多决定把所有的果子合成一堆。

每一次合并,多多可以把两堆果子合并到一起,消耗的体力等于两堆果子的重量之和。可以看出,所有的果子经过 n-1 次合并之后, 就只剩下一堆了。多多在合并果子时总共消耗的体力等于每次合并所耗体力之和。

因为还要花大力气把这些果子搬回家,所以多多在合并果子时要尽可能地节省体力。假定每个果子重量都为 1 ,并且已知果子的种类 数和每种果子的数目,你的任务是设计出合并的次序方案,使多多耗费的体力最少,并输出这个最小的体力耗费值。

例如有 3 种果子,数目依次为 1 , 2 , 9 。可以先将 1 、 2 堆合并,新堆数目为 3 ,耗费体力为 3 。接着,将新堆与原先的第三堆合并,又得到新的堆,数目为 12 ,耗费体力为 12 。所以多多总共耗费体力 =3+12=15 。可以证明 15 为最小的体力耗费值。

输入格式
第一行是一个整数 n (1<= n <= 10000),表示果子的种类数。
第二行包含 n 个整数,用空格分隔,第 i 个整数 a_i(1<= a_i <= 20000) 是第 i 种果子的数目。

输出格式
一个整数,也就是最小的体力耗费值。输入数据保证这个值小于 2^31。

样例

1
2
3
4
5
// 样例输入
3
1 2 9
// 样例输出
15

其中

  • 对于 30% 的数据,保证有 n < 1000
  • 对于 50% 的数据,保证有 n < 5000
  • 对于全部的数据,保证有 n < 10000

答案

这道题显然每次取最小的两个数即可,如果直接进行排序,每次合并果子后重新再排显然会超时。我们可以采用优先队列。代码如下

1
2
3
4
5
6
7
8
9
10
11
12
13
14
15
16
17
18
19
20
21
22
#include<queue>
#include<iostream>

using namespace std;
int n, x, ans;
priority_queue<int, vector<int>, greater<int> > q;

int main() {
cin >> n; // cin是C++编程语言中的标准输入流对象,可以理解为scanf
while (n--)
cin >> x, q.push(x);
while (q.size() >= 2) {
int a = q.top();
q.pop();
int b = q.top();
q.pop();
ans += a + b;
q.push(a + b);
}
cout << ans << endl; // cin是C++编程语言中的标准输出流对象,可以理解为printf
return 0;
}

作业一

题目链接

写一个程序来模拟操作系统的进程调度。假设该系统只有一个CPU,每一个进程的到达时间,执行时间和运行优先级都是已知的。其中运行优先级用自然数表示,数字越大,则优先级越高。

如果一个进程到达的时候CPU是空闲的,则它会一直占用CPU直到该进程结束。除非在这个过程中,有一个比它优先级高的进程要运行。在这种情况下,这个新的(优先级更高的)进程会占用CPU,而老的只有等待。

如果一个进程到达时,CPU正在处理一个比它优先级高或优先级相同的进程,则这个(新到达的)进程必须等待。

一旦CPU空闲,如果此时有进程在等待,则选择优先级最高的先运行。如果有多个优先级最高的进程,则选择到达时间最早的。

输入格式
输入包含若干行,每一行有四个自然数(均不超过10^8),分别是进程号,到达时间,执行时间和优先级。不同进程有不同的编号,不会有两个相同优先级的进程同时到达。输入数据已经按到达时间从小到大排序。输入数据保证在任何时候,等待队列中的进程不超过15000个。

输出格式
按照进程结束的时间输出每个进程的进程号和结束时间。

样例

1
2
3
4
5
6
7
8
9
10
11
12
13
14
15
16
17
18
// 输入
1 1 5 3
2 10 5 1
3 12 7 2
4 20 2 3
5 21 9 4
6 22 2 4
7 23 5 2
8 24 2 4
// 输出
1 6
3 19
5 30
6 32
8 34
4 35
7 40
2 42

分析

考虑到CPU在空闲时会从等待队列中取出优先值最高的那个任务开始运行,所以很显然这就是个优先队列。

对于刚出现的每一个任务,我们直接将它放进队列,然后在下一个任务出现前不断地挨个处理程序。如果一个程序在运行到一半的时候被中断,那么保存剩余运行时间为总运行时间后将它重新压回队列。

我们使用结构体来存放每个任务的信息。

1
2
3
4
5
6
7
8
9
10
struct task {
int number;//任务编号
int need;//需要时间
int get;//出现时间
int grade;//优先级
bool operator < (const task &b) const {
//给优先队列提供的运算符,我们会将优先级高的,或者是优先级相同但来的更早的任务放到堆顶
return this->grade < b.grade (this->grade == b.grade && this->get > b.get);
}
};

然后是优先队列

1
priority_queue<task> wait;

最后是主函数

1
2
3
4
5
6
7
8
9
10
11
12
13
14
15
16
17
18
19
20
21
22
23
24
25
26
27
28
29
int main() {
int num, get, times, grade;
int time = -1;
while (scanf("%d%d%d%d", &num, &get, &times, &grade) != EOF) {
while ((!wait.empty()) && time + wait.top().need <= get) {
// 队列不为空,且优先级最高的进程在新加入的事件开始前就会执行完毕
time += wait.top().need;
printf("%d %d\n", wait.top().number, time);
wait.pop();
}
if (!wait.empty()) {
// 队列不为空,进程执行完之前有新进程加入(不一定会抢夺,只是开始时间在原进程结束前)
// 计算当前进程所剩完成时间,重新放入队列(新进程也会在本次循环中放入队列,让优先队列自己比较去)
task cache = wait.top();
wait.pop();
cache.need -= get - time;
wait.push(cache);
}
wait.push({num, times, get, grade});
time = get;
}
while (!wait.empty()) {
// 将队列中剩下的时间按照优先级、时间顺序输出
time += wait.top().need;
printf("%d %d\n", wait.top().number, time);
wait.pop();
}
return 0;
}

答案

1
2
3
4
5
6
7
8
9
10
11
12
13
14
15
16
17
18
19
20
21
22
23
24
25
26
27
28
29
30
31
32
33
34
35
36
37
38
39
40
41
42
43
44
45
46
47
#include<cstdio>
#include<queue>

using namespace std;

struct task {
int number;//任务编号
int need;//需要时间
int get;//出现时间
int grade;//优先级
bool operator < (const task &b) const {
//给优先队列提供的运算符,我们会将优先级高的,或者是优先级相同但来的更早的任务放到堆顶
return this->grade < b.grade (this->grade == b.grade && this->get > b.get);
}
};

priority_queue<task> wait;

int main() {
int num, get, times, grade;
int time = -1;
while (scanf("%d%d%d%d", &num, &get, &times, &grade) != EOF) {
while ((!wait.empty()) && time + wait.top().need <= get) {
// 队列不为空,且优先级最高的进程在新加入的事件开始前就会执行完毕
time += wait.top().need;
printf("%d %d\n", wait.top().number, time);
wait.pop();
}
if (!wait.empty()) {
// 队列不为空,进程执行完之前有新进程加入(不一定会抢夺,只是开始时间在原进程结束前)
// 计算当前进程所剩完成时间,重新放入队列(新进程也会在本次循环中放入队列,让优先队列自己比较去)
task cache = wait.top();
wait.pop();
cache.need -= get - time;
wait.push(cache);
}
wait.push({num, times, get, grade});
time = get;
}
while (!wait.empty()) {
// 将队列中剩下的时间按照优先级、时间顺序输出
time += wait.top().need;
printf("%d %d\n", wait.top().number, time);
wait.pop();
}
return 0;
}
 评论
评论插件加载失败
正在加载评论插件